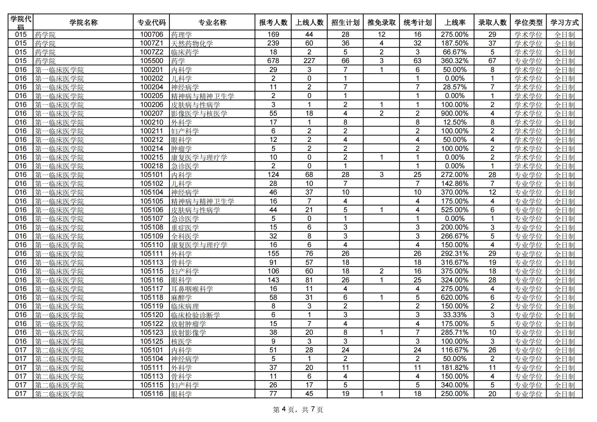
本文为大家整理的是暨南大学2022-2024年考研报录比,以下是各专业报考和录取情况,包含学硕和专硕,供大家参考。
说明:考研报录比是报考人数和录取人数的一个比例,通过报录比我们可以看出各专业的竞争大小、上岸难度,进而决定是否应该报考。
1、2024年暨南大学考研报录比

3、2022年暨南大学考研报录比







点击展开
本文为大家整理的是暨南大学2022-2024年考研报录比,以下是各专业报考和录取情况,包含学硕和专硕,供大家参考。
说明:考研报录比是报考人数和录取人数的一个比例,通过报录比我们可以看出各专业的竞争大小、上岸难度,进而决定是否应该报考。







